Постановление Правительства Республики Алтай от 15.04.2016 № 103
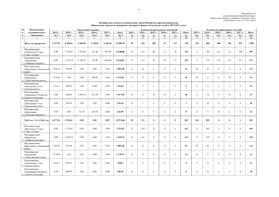
"О внесении изменений в республиканскую адресную программу "Переселение граждан из аварийного жилищного фонда в Республике Алтай в 2013-2017 годах"
"О внесении изменений в республиканскую адресную программу "Переселение граждан из аварийного жилищного фонда в Республике Алтай в 2013-2017 годах"
Номер опубликования: 0400201604190009
Дата опубликования:
19.04.2016
