Официальное опубликование правовых актов
ОФИЦИАЛЬНОЕ ОПУБЛИКОВАНИЕ
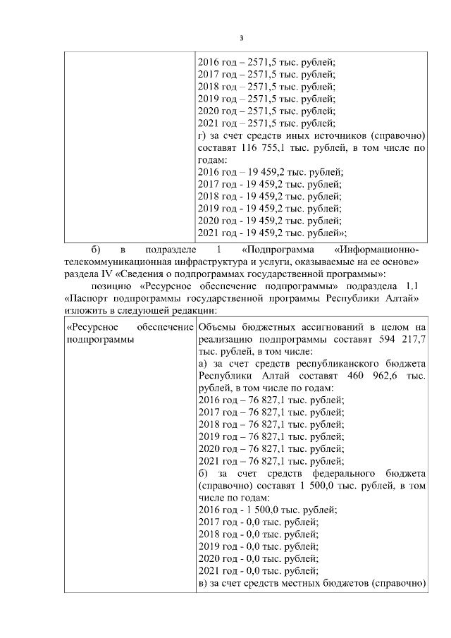
Постановление Правительства Республики Алтай от 22.03.2016 № 78
"О внесении изменений в некоторые постановления Правительства Республики Алтай"
Номер опубликования: 0400201603250001
Дата опубликования: 25.03.2016
Страница №3 из 24:
Увеличить