Официальное опубликование правовых актов
ОФИЦИАЛЬНОЕ ОПУБЛИКОВАНИЕ
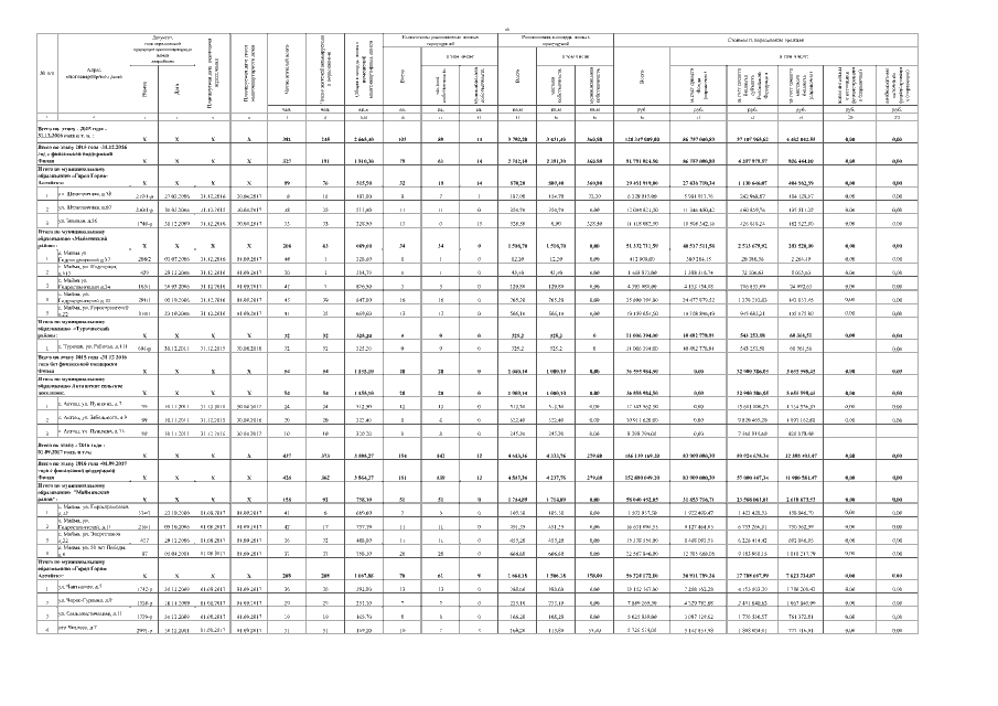
Постановление Правительства Республики Алтай от 18.12.2015 № 428
"О внесении изменений в республиканскую адресную программу "Переселение граждан из аварийного жилищного фонда в Республике Алтай в 2013-2017 годах"
Номер опубликования: 0400201512220004
Дата опубликования: 22.12.2015
Страница №16 из 22:
Увеличить