Официальное опубликование правовых актов
ОФИЦИАЛЬНОЕ ОПУБЛИКОВАНИЕ
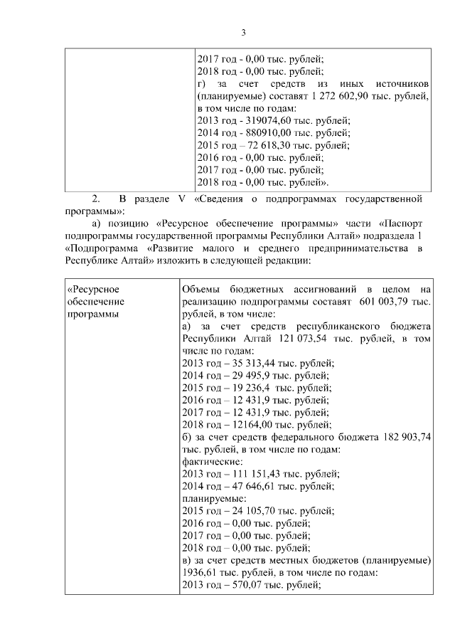
Постановление Правительства Республики Алтай от 02.12.2015 № 399
"О внесении изменений в государственную программу Республики Алтай "Развитие конкурентных рынков"
Номер опубликования: 0400201512040002
Дата опубликования: 04.12.2015
Страница №3 из 18:
Увеличить