Официальное опубликование правовых актов
ОФИЦИАЛЬНОЕ ОПУБЛИКОВАНИЕ
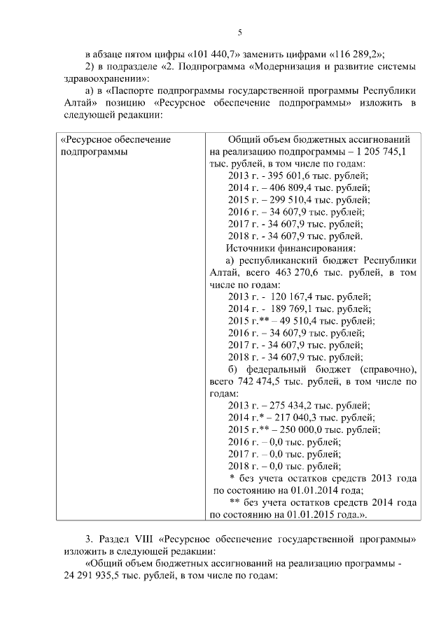
Постановление Правительства Республики Алтай от 20.11.2015 № 387
"О внесении изменений в государственную программу Республики Алтай "Развитие здравоохранения"
Номер опубликования: 0400201511230002
Дата опубликования: 23.11.2015
Страница №5 из 21:
Увеличить