Официальное опубликование правовых актов
ОФИЦИАЛЬНОЕ ОПУБЛИКОВАНИЕ
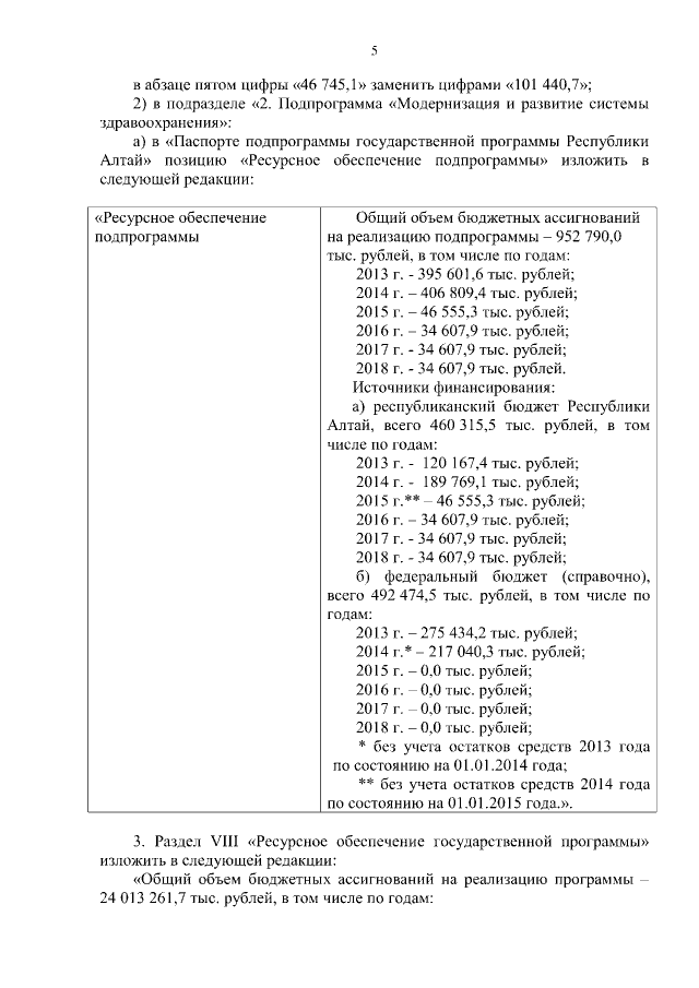
Постановление Правительства Республики Алтай от 02.07.2015 № 202
"О внесении изменений в государственную программу Республики Алтай "Развитие здравоохранения"
Номер опубликования: 0400201507060002
Дата опубликования: 06.07.2015
Страница №5 из 20:
Увеличить