Официальное опубликование правовых актов
ОФИЦИАЛЬНОЕ ОПУБЛИКОВАНИЕ
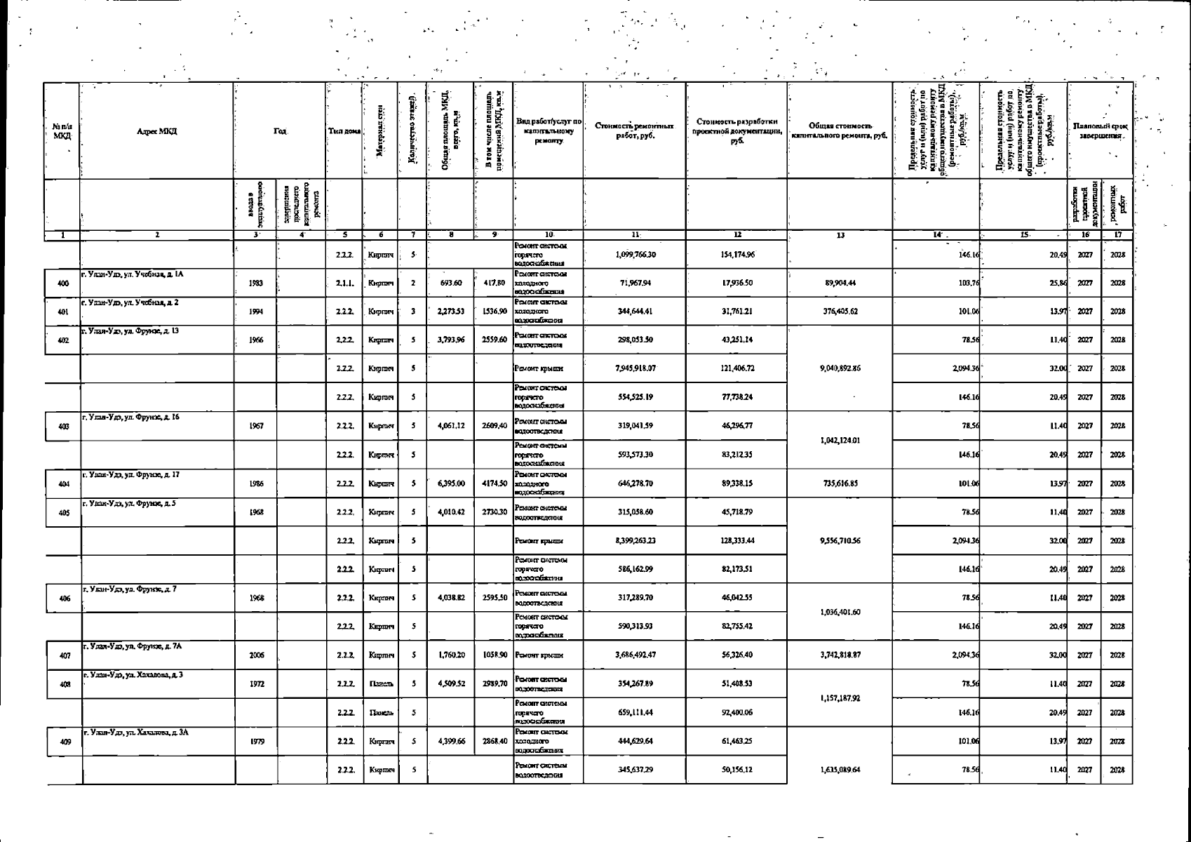
Приказ Министерства строительства и модернизации жилищно-коммунального комплекса Республики Бурятия от 15.12.2025 № 06-ПР276/25
"О внесении изменения в приказ Министерства строительства и модернизации жилищно-коммунального комплекса Республики Бурятия от 14.05.2025 № 06-ПР83/25 "Об утверждении Республиканского краткосрочного плана реализации Республиканской программы "Капитальный ремонт общего имущества в многоквартирных домах, расположенных на территории Республики Бурятия" на 2026-2028 г.г."
(Зарегистрирован 19.12.2025 № 032025506)
Номер опубликования: 0301202512230004
Дата опубликования: 23.12.2025
Страница №160 из 171:
Увеличить