Официальное опубликование правовых актов
ОФИЦИАЛЬНОЕ ОПУБЛИКОВАНИЕ
Приказ Министерства имущественных и земельных отношений Республики Бурятия от 30.10.2025 № 94
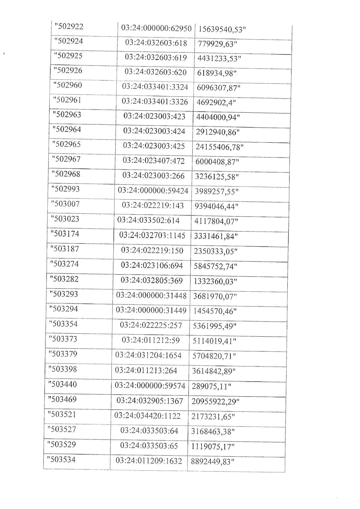
"О внесении изменений в приказ Министерства имущественных и земельных отношений Республики Бурятия от 13.10.2023 № 96 "Об утверждении результатов определения кадастровой стоимости зданий, помещений, сооружений, объектов незавершенного строительства, машино-мест, расположенных на территории Республики Бурятия"
(Зарегистрирован 07.11.2025 № 032025344)
Номер опубликования: 0301202511110003
Дата опубликования: 11.11.2025
Страница №14 из 28:
Увеличить