Официальное опубликование правовых актов
ОФИЦИАЛЬНОЕ ОПУБЛИКОВАНИЕ
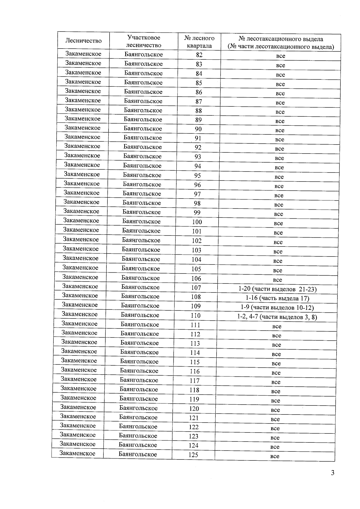
Приказ Республиканского агентства лесного хозяйства Республики Бурятия от 29.07.2025 № 520
"О внесении изменений в приказ Республиканского агентства лесного хозяйства от 29.08.2018 № 877 "Об утверждении Лесохозяйственного регламента Закаменского лесничества"
(Зарегистрирован 13.08.2025 № 032025260)
Номер опубликования: 0301202508180003
Дата опубликования: 18.08.2025
Страница №7 из 60:
Увеличить