Официальное опубликование правовых актов
ОФИЦИАЛЬНОЕ ОПУБЛИКОВАНИЕ
Приказ Министерства строительства и модернизации жилищно-коммунального комплекса Республики Бурятия от 21.07.2025 № 06-пр137/25
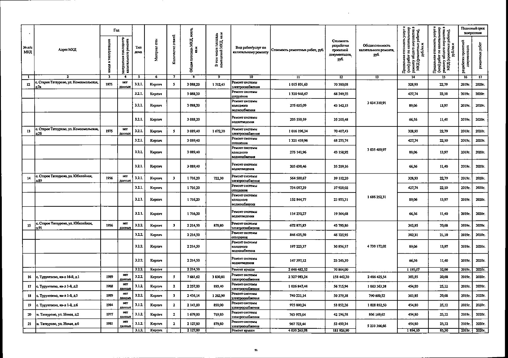
"О внесении изменения в приказ Министерства строительства и модернизации жилищно-коммунального комплекса Республики Бурятия от 08.05.2019 № 06-ПР88/19 "Об утверждении Республиканского краткосрочного плана реализации Республиканской программы "Капитальный ремонт общего имущества в многоквартирных домах, расположенных на территории Республики Бурятия" на 2020-2022 гг. (период реализации 2020-2023 гг.)"
(Зарегистрирован 29.07.2025 № 032025248)
Номер опубликования: 0301202508010001
Дата опубликования: 01.08.2025
Страница №54 из 73:
Увеличить