Официальное опубликование правовых актов
ОФИЦИАЛЬНОЕ ОПУБЛИКОВАНИЕ
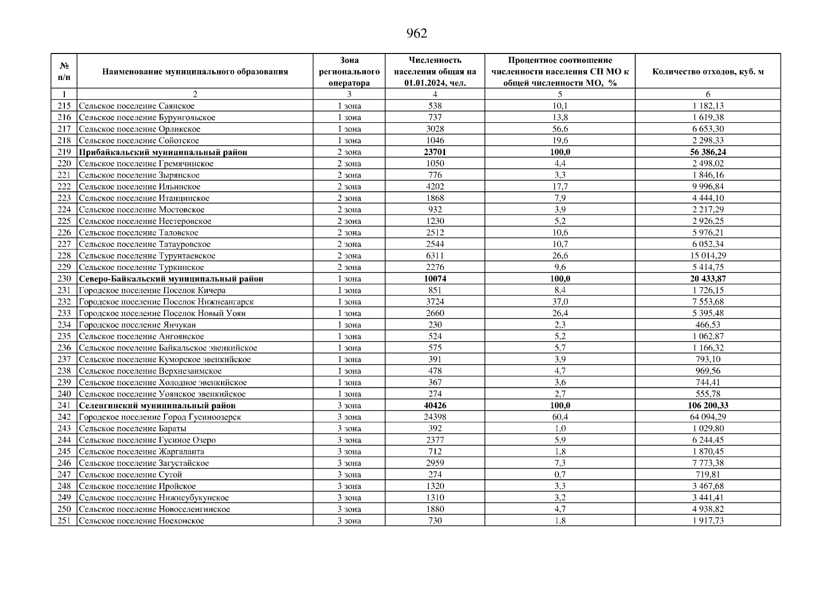
Приказ Министерства природных ресурсов и экологии Республики Бурятия от 20.02.2025 № 45-ПР
"О внесении изменений в приказ Министерства природных ресурсов Республики Бурятия от 29.04.2020 № 159-ПР "Об утверждении территориальной схемы обращения с отходами Республики Бурятия"
(Зарегистрирован 05.03.2025 № 032025074)
Номер опубликования: 0301202503100001
Дата опубликования: 10.03.2025
Страница №963 из 1126:
Увеличить