Официальное опубликование правовых актов
ОФИЦИАЛЬНОЕ ОПУБЛИКОВАНИЕ
Приказ Республиканской службы по тарифам Республики Бурятия от 06.10.2023 № 6/1
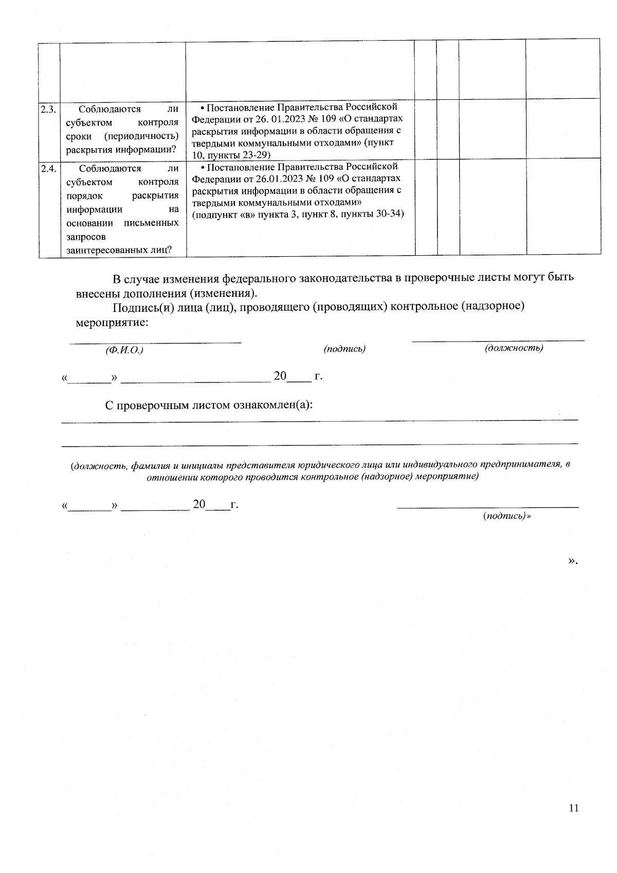
"О внесении изменений в приказ Республиканской службы по тарифам Республики Бурятия от 22.02.2022 № 6 "Об утверждении форм проверочных листов (списков контрольных вопросов, ответы на которые свидетельствуют о соблюдении или несоблюдении контролируемым лицом обязательных требований), применяемых Республиканской службой по тарифам Республики Бурятия при проведении контрольных (надзорных) мероприятий и признании утратившим силу приказа Республиканской службы по тарифам Республики Бурятия от 02.02.2018 № 12 "Об утверждении проверочных листов (списков контрольных вопросов), используемых Республиканской службой по тарифам Республики Бурятия при проведении плановых проверок"
(Зарегистрирован 11.10.2023 № 032023307)
Номер опубликования: 0301202310170002
Дата опубликования: 17.10.2023
Страница №11 из 11:
Увеличить