Официальное опубликование правовых актов
ОФИЦИАЛЬНОЕ ОПУБЛИКОВАНИЕ
Приказ Министерства имущественных и земельных отношений Республики Бурятия от 04.07.2023 № 63
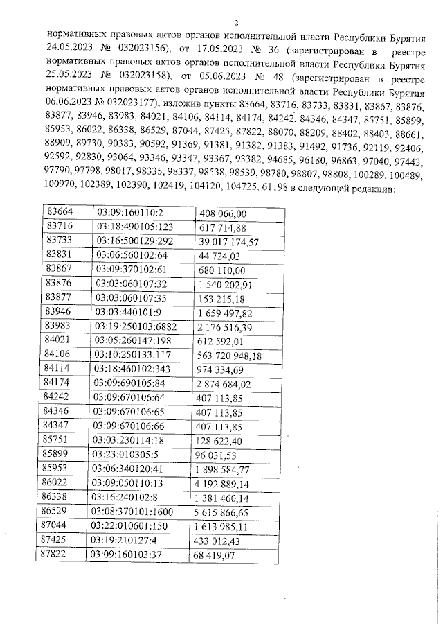
"О внесении изменений в приказ Министерства имущественных и земельных отношений Республики Бурятия от 18.10.2022 № 87 "Об утверждении результатов определения кадастровой стоимости земельных участков, расположенных на территории Республики Бурятия"
(Зарегистрирован 11.07.2023 № 032023220)
Номер опубликования: 0301202307120002
Дата опубликования: 12.07.2023
Страница №2 из 4:
Увеличить