Официальное опубликование правовых актов
ОФИЦИАЛЬНОЕ ОПУБЛИКОВАНИЕ
Приказ Министерства строительства и модернизации и жилищно-коммунального комплекса Республики Бурятия от 23.06.2023 № 06-ПР109/23
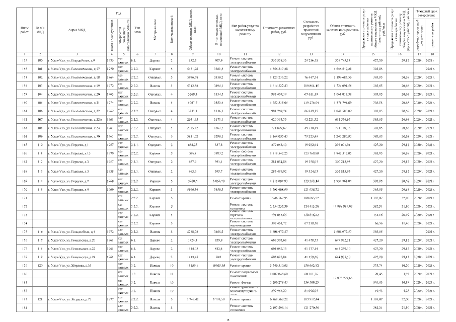
"О внесении изменений в приказ Министерства строительства и модернизации жилищно-коммунального комплекса Республики Бурятия от 08.05.2019 № 06-ПР88/19 "Об утверждении Республиканского краткосрочного плана реализации Республиканской программы "Капитальный ремонт общего имущества в многоквартирных домах, расположенных на территории Республики Бурятия, на 2014-2043 годы" на 2020-2022гг. (период реализации 2020-2023гг.)"
(Зарегистрирован 04.07.2023 № 032023210)
Номер опубликования: 0301202307060003
Дата опубликования: 06.07.2023
Страница №20 из 93:
Увеличить