Официальное опубликование правовых актов
ОФИЦИАЛЬНОЕ ОПУБЛИКОВАНИЕ
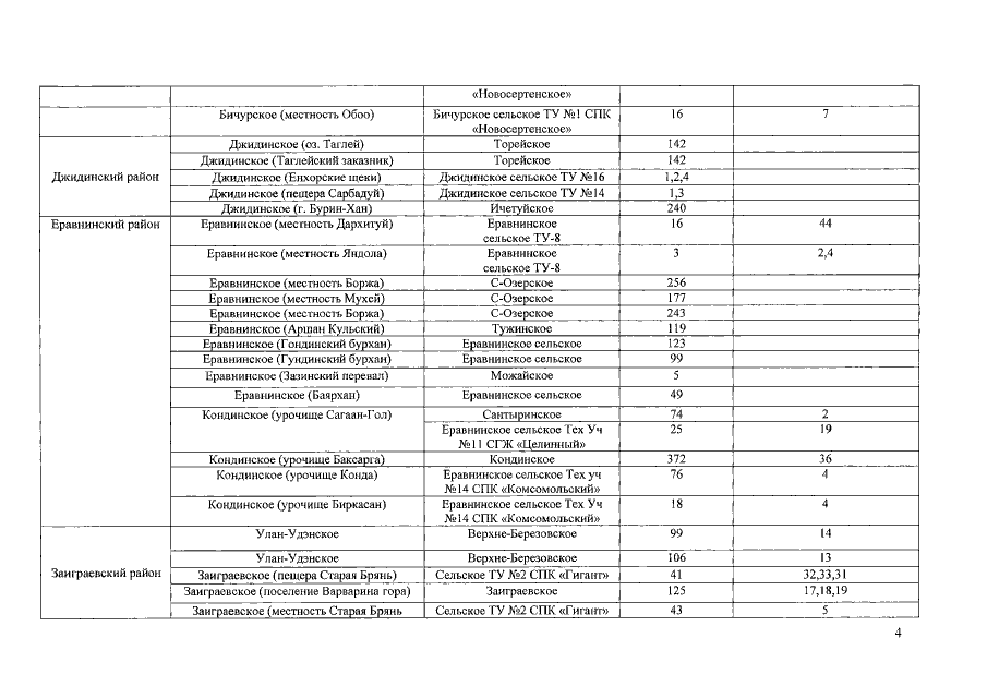
Приказ Республиканского агентства лесного хозяйства Республики Бурятия от 14.05.2019 № 709
"О введении ограничения пребывания граждан в лесах и въезда в них транспортных средств, принадлежащих гражданам, в целях обеспечения пожарной безопасности в лесах на землях лесного фонда на территории Республики Бурятия"
(Зарегистрирован 20.05.2019 № 032019246)
Номер опубликования: 0301201905230002
Дата опубликования: 23.05.2019
Страница №7 из 20:
Увеличить