Официальное опубликование правовых актов
ОФИЦИАЛЬНОЕ ОПУБЛИКОВАНИЕ
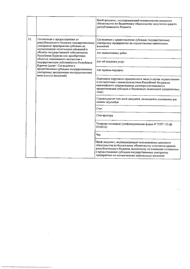
Приказ Министерство финансов Республики Бурятия от 21.02.2019 № 70
"О внесении изменений в приказ Министерства финансов Республики Бурятия от 18.01.2017 № 5 "О Порядке учета бюджетных и денежных обязательств получателей средств республиканского бюджета"
(Зарегистрирован 04.03.2019 № 032019100)
Номер опубликования: 0301201903110003
Дата опубликования: 11.03.2019
Страница №24 из 29:
Увеличить