Официальное опубликование правовых актов
ОФИЦИАЛЬНОЕ ОПУБЛИКОВАНИЕ
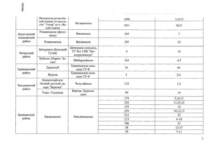
Приказ Республиканского агентства лесного хозяйства Республики Бурятия от 23.04.2018 № 412
"О введении ограничения пребывания граждан в лесах и въезда в них транспортных средств, принадлежащих гражданам в целях обеспечения пожарной безопасности в лесах на землях лесного фонда на территории Республики Бурятия"
(Зарегистрирован 28.04.2018 № 032018109)
Номер опубликования: 0301201805070001
Дата опубликования: 07.05.2018
Страница №6 из 13:
Увеличить