Официальное опубликование правовых актов
ОФИЦИАЛЬНОЕ ОПУБЛИКОВАНИЕ
Приказ Администрации Главы Республики Бурятия и Правительства Республики Бурятия от 28.03.2018 № 105д
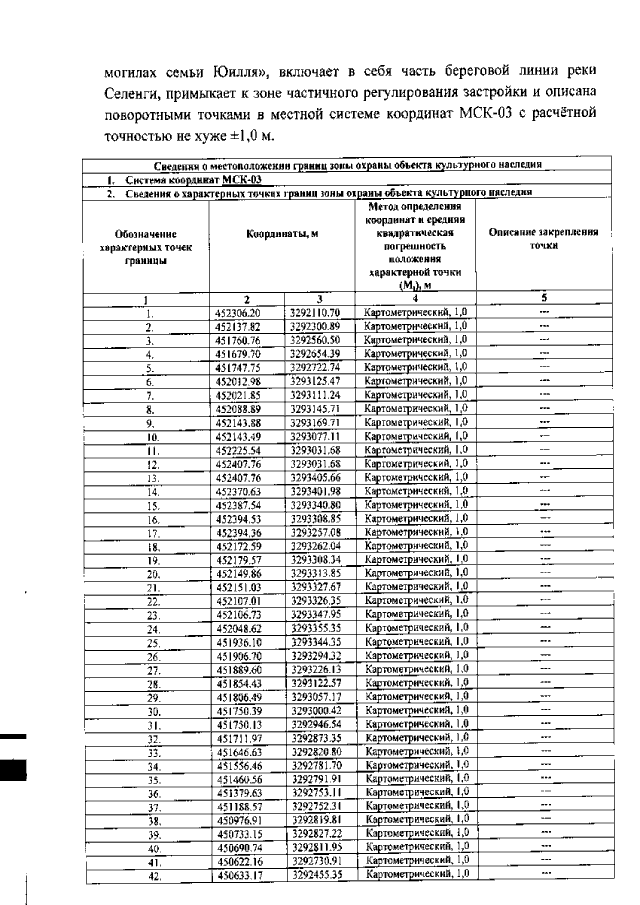
"О внесении изменений в приказ Республиканской службы государственной охраны объектов культурного наследия от 25.12.2009 № 76 "Об утверждении границ зон охраны объектов культурного наследия (памятников истории и культуры) регионального, местного (муниципального) значения посёлка Новоселенгинск Селенгинского района Республики Бурятия, режимов использования земель и градостроительных регламентов в границах данных зон"
(Зарегистрирован 13.04.2018 № 032018095)
Номер опубликования: 0301201804180003
Дата опубликования: 18.04.2018
Страница №16 из 26:
Увеличить