Официальное опубликование правовых актов
ОФИЦИАЛЬНОЕ ОПУБЛИКОВАНИЕ
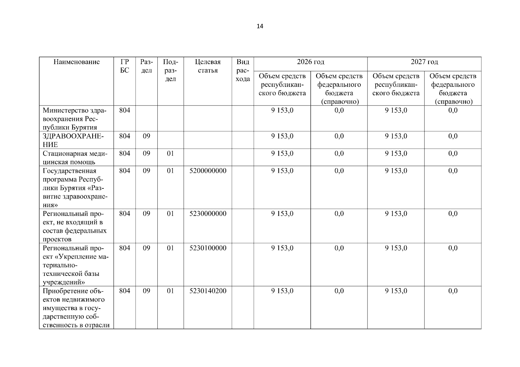
Распоряжение Правительства Республики Бурятия от 27.11.2025 № 969-р
Номер опубликования: 0300202511280006
Дата опубликования: 28.11.2025
Страница №43 из 104:
Увеличить