Официальное опубликование правовых актов
ОФИЦИАЛЬНОЕ ОПУБЛИКОВАНИЕ
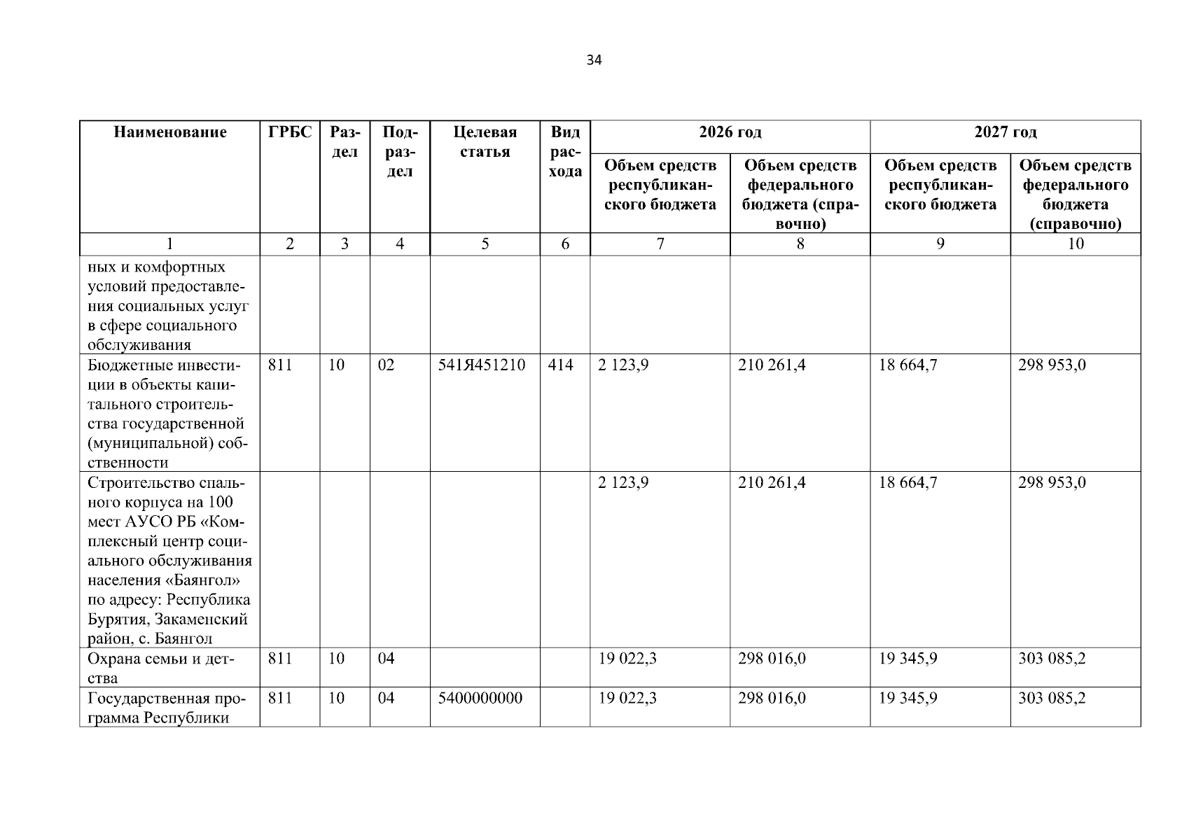
Распоряжение Правительства Республики Бурятия от 24.09.2025 № 757-р
Номер опубликования: 0300202509250005
Дата опубликования: 25.09.2025
Страница №68 из 95:
Увеличить