Официальное опубликование правовых актов
ОФИЦИАЛЬНОЕ ОПУБЛИКОВАНИЕ
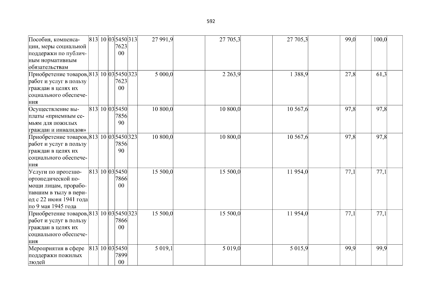
Закон Республики Бурятия от 05.07.2025 № 1102-VII
"Об исполнении республиканского бюджета за 2024 год"
Номер опубликования: 0300202507080003
Дата опубликования: 08.07.2025
Страница №593 из 869:
Увеличить