Официальное опубликование правовых актов
ОФИЦИАЛЬНОЕ ОПУБЛИКОВАНИЕ
Постановление Правительства Республики Бурятия от 18.06.2025 № 350
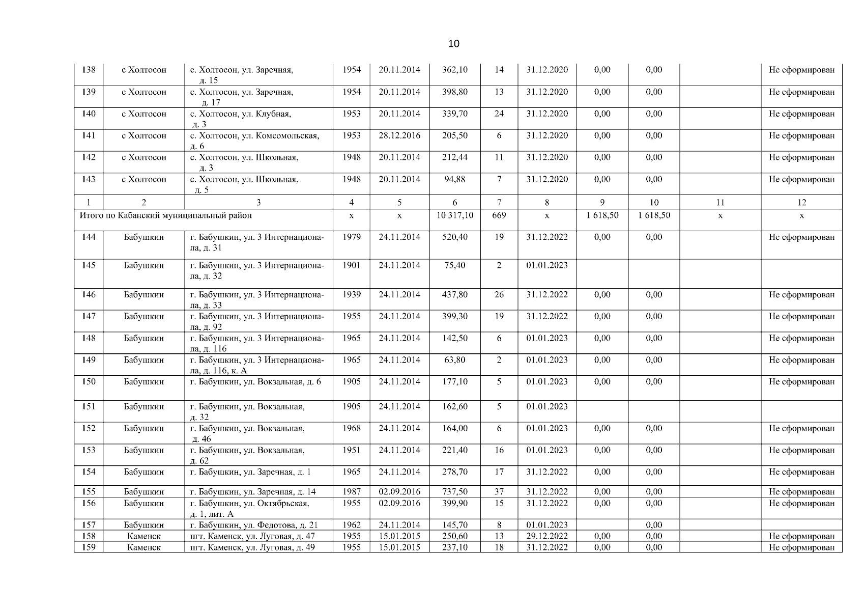
"О внесении изменений в постановление Правительства Республики Бурятия от 05.04.2019 № 170 "Об утверждении Республиканской адресной программы по переселению граждан из аварийного жилищного фонда на территории Республики Бурятия, признанного таковым до 1 января 2017 года, на период 2019 - 2024 годов"
Номер опубликования: 0300202506190013
Дата опубликования: 19.06.2025
Страница №14 из 35:
Увеличить