Постановление Правительства Республики Бурятия от 16.05.2025 № 290
"Об утверждении отчета об исполнении республиканского бюджета за 1 квартал 2025 года"
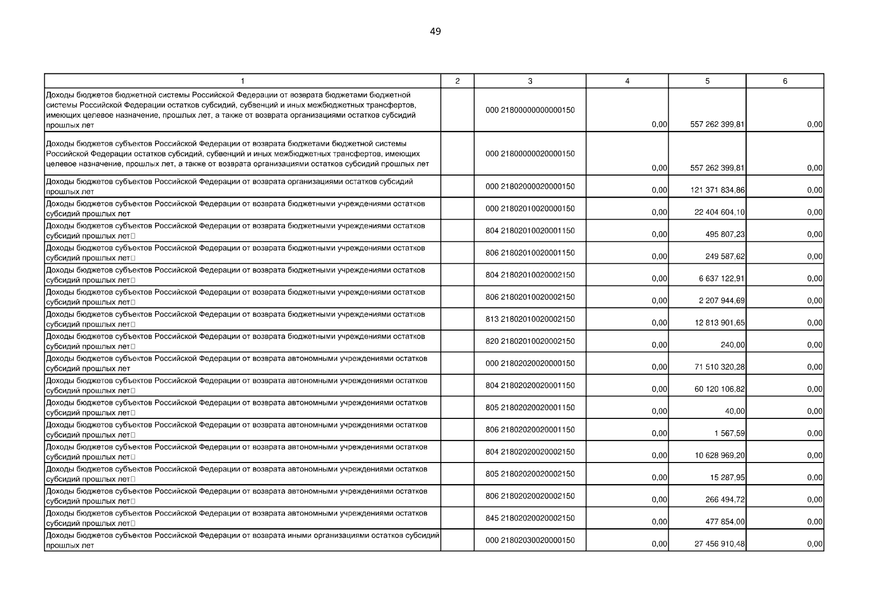
"Об утверждении отчета об исполнении республиканского бюджета за 1 квартал 2025 года"
Номер опубликования: 0300202505190009
Дата опубликования:
19.05.2025
