Официальное опубликование правовых актов
ОФИЦИАЛЬНОЕ ОПУБЛИКОВАНИЕ
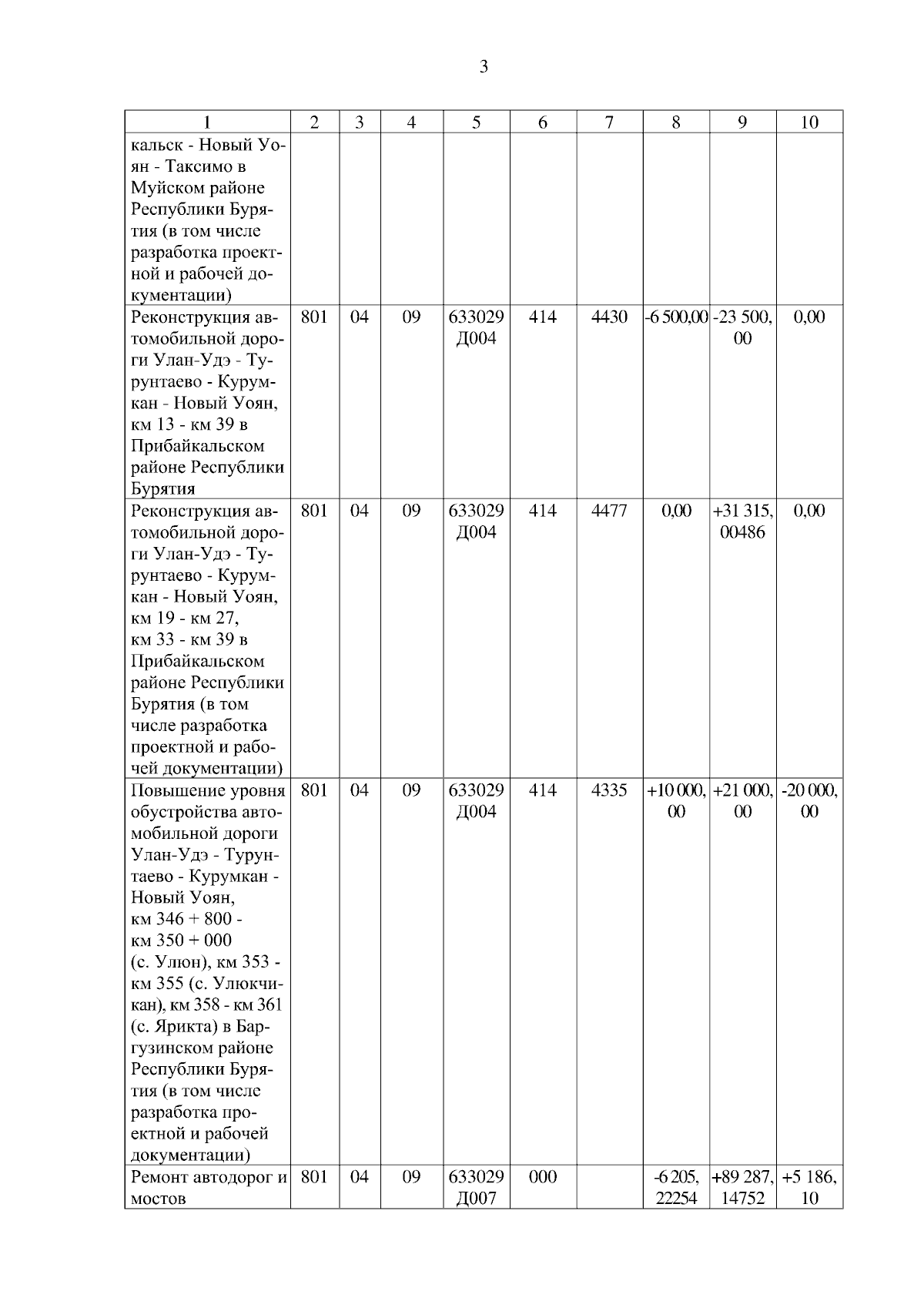
Распоряжение Правительства Республики Бурятия от 26.03.2025 № 189-р
Номер опубликования: 0300202503270010
Дата опубликования: 27.03.2025
Страница №3 из 9:
Увеличить