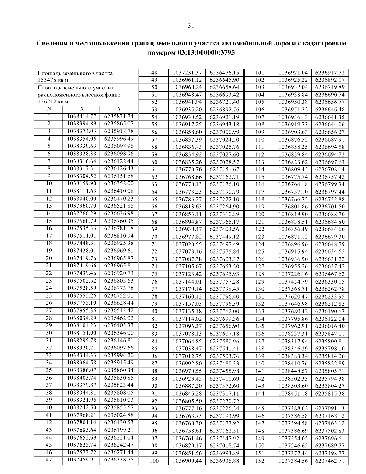
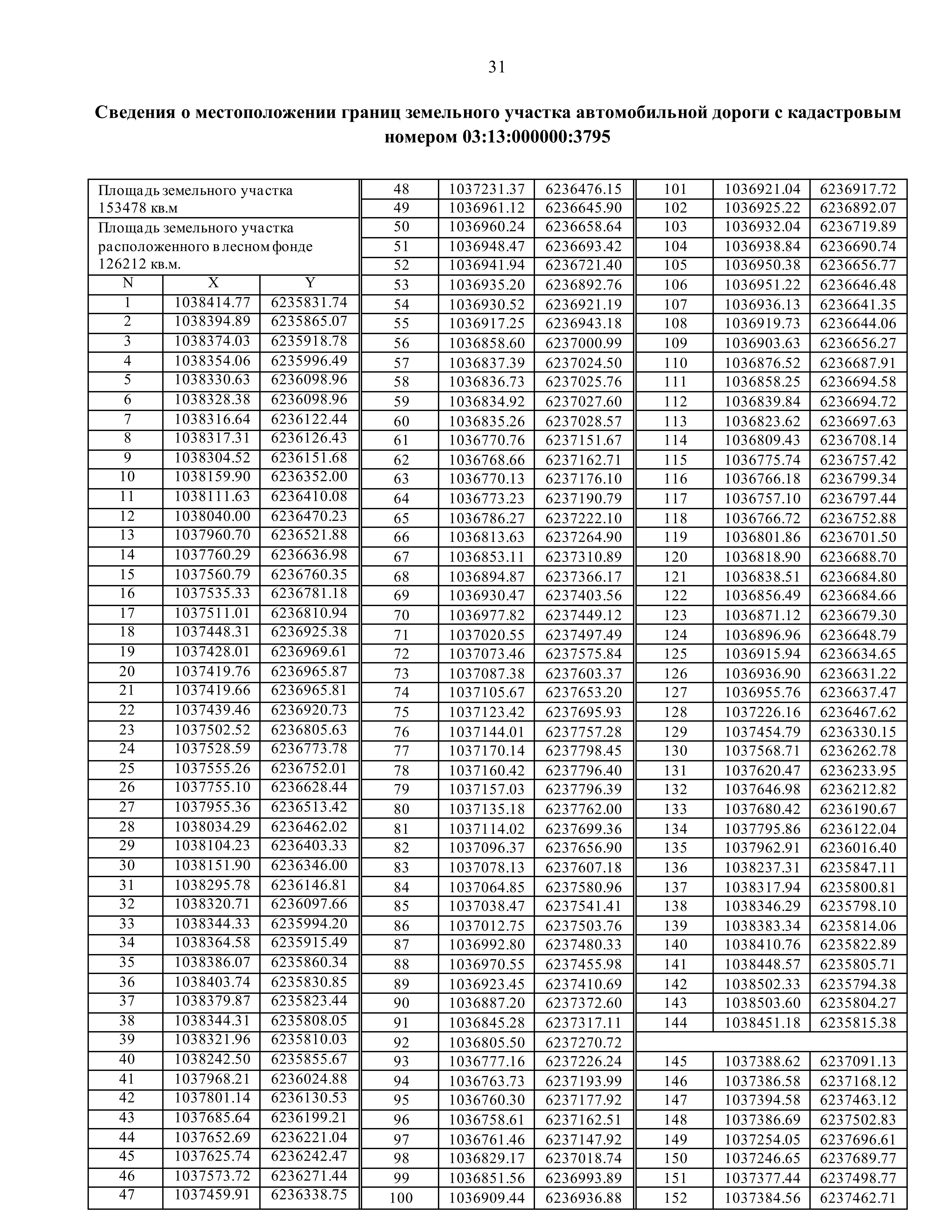
Официальное опубликование правовых актов
ОФИЦИАЛЬНОЕ ОПУБЛИКОВАНИЕ
Распоряжение Правительства Республики Бурятия от 29.01.2025 № 44-р
Номер опубликования: 0300202501300008
Дата опубликования: 30.01.2025
Страница №32 из 44: