Официальное опубликование правовых актов
ОФИЦИАЛЬНОЕ ОПУБЛИКОВАНИЕ
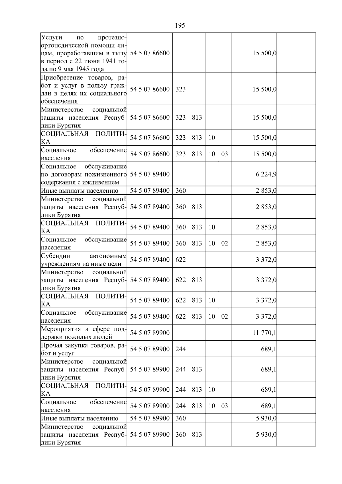
Закон Республики Бурятия от 23.12.2024 № 845-VII
"О республиканском бюджете на 2025 год и на плановый период 2026 и 2027 годов"
Номер опубликования: 0300202412250022
Дата опубликования: 25.12.2024
Страница №195 из 1972:
Увеличить