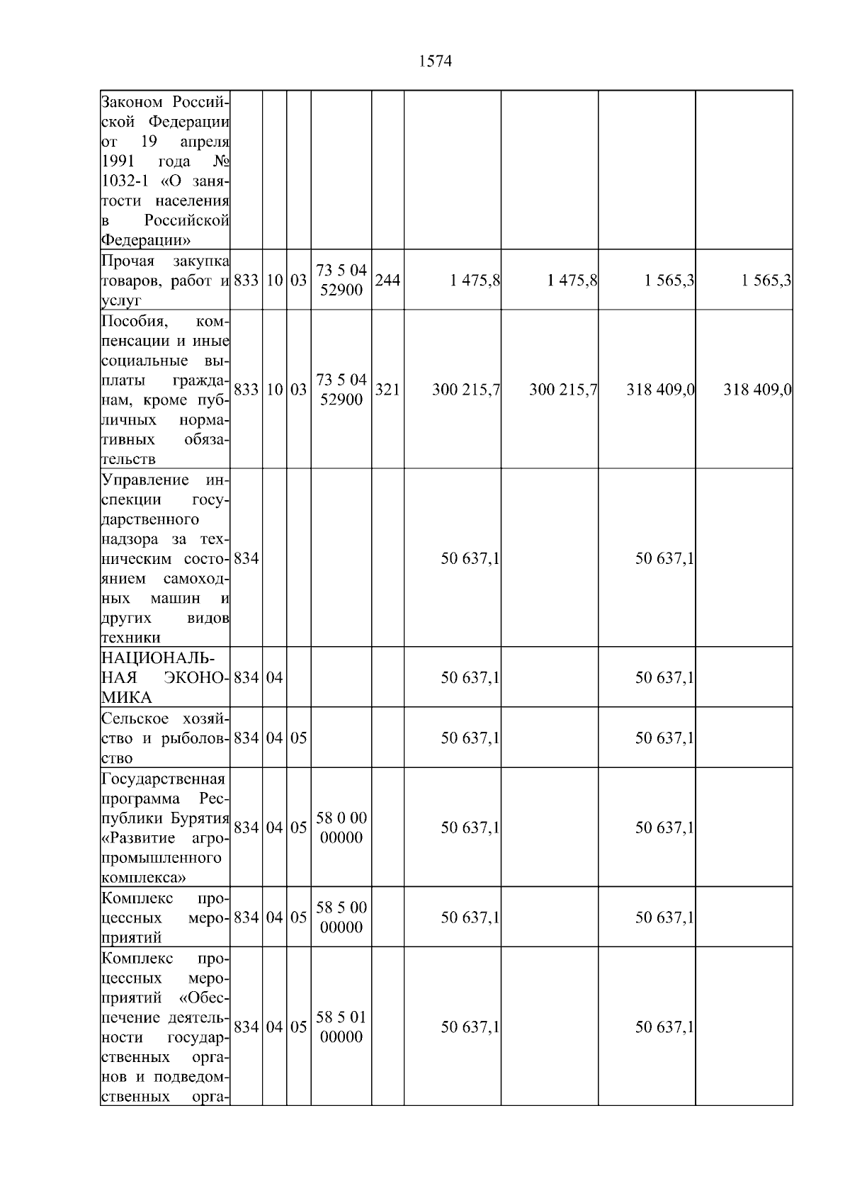
Закон Республики Бурятия от 19.12.2024 № 841-VII
"О внесении изменений в Закон Республики Бурятия "О республиканском бюджете на 2024 год и на плановый период 2025 и 2026 годов"
"О внесении изменений в Закон Республики Бурятия "О республиканском бюджете на 2024 год и на плановый период 2025 и 2026 годов"
Номер опубликования: 0300202412200001
Дата опубликования:
20.12.2024
