Официальное опубликование правовых актов
ОФИЦИАЛЬНОЕ ОПУБЛИКОВАНИЕ
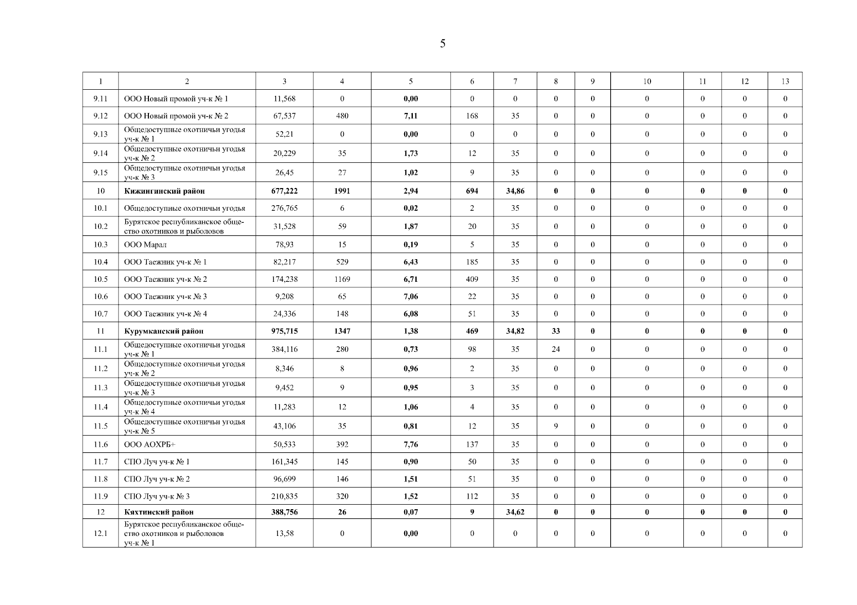
Указ Главы Республики Бурятия от 02.10.2024 № 177
"О внесении изменений в указ Главы Республики Бурятия от 12.07.2024 № 117 "Об утверждении лимита и квот добычи охотничьих ресурсов в Республике Бурятия на период с 1 августа 2024 года до 1 августа 2025 года"
Номер опубликования: 0300202410040020
Дата опубликования: 04.10.2024
Страница №56 из 75:
Увеличить