Официальное опубликование правовых актов
ОФИЦИАЛЬНОЕ ОПУБЛИКОВАНИЕ
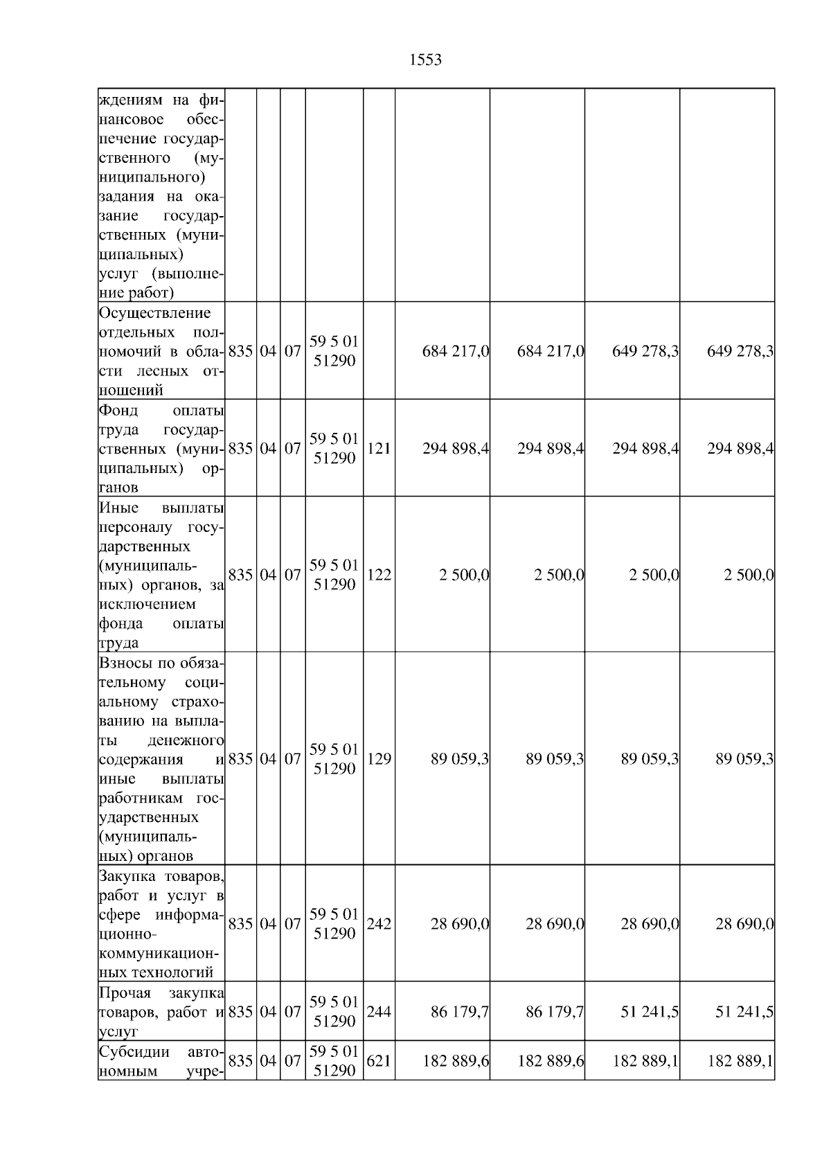
Закон Республики Бурятия от 02.10.2024 № 615-VII
"О внесении изменений в Закон Республики Бурятия "О республиканском бюджете на 2024 год и на плановый период 2025 и 2026 годов"
Номер опубликования: 0300202410020005
Дата опубликования: 02.10.2024
Страница №1553 из 1824:
Увеличить