Официальное опубликование правовых актов
ОФИЦИАЛЬНОЕ ОПУБЛИКОВАНИЕ
Постановление Правительства Республики Бурятия от 12.09.2024 № 520
"О внесении изменений в постановление Правительства Республики Бурятия от 09.06.2012 № 342 "Об образовании особо охраняемой природной территории регионального значения рекреационной местности "Побережье Байкала"
Номер опубликования: 0300202409160007
Дата опубликования: 16.09.2024
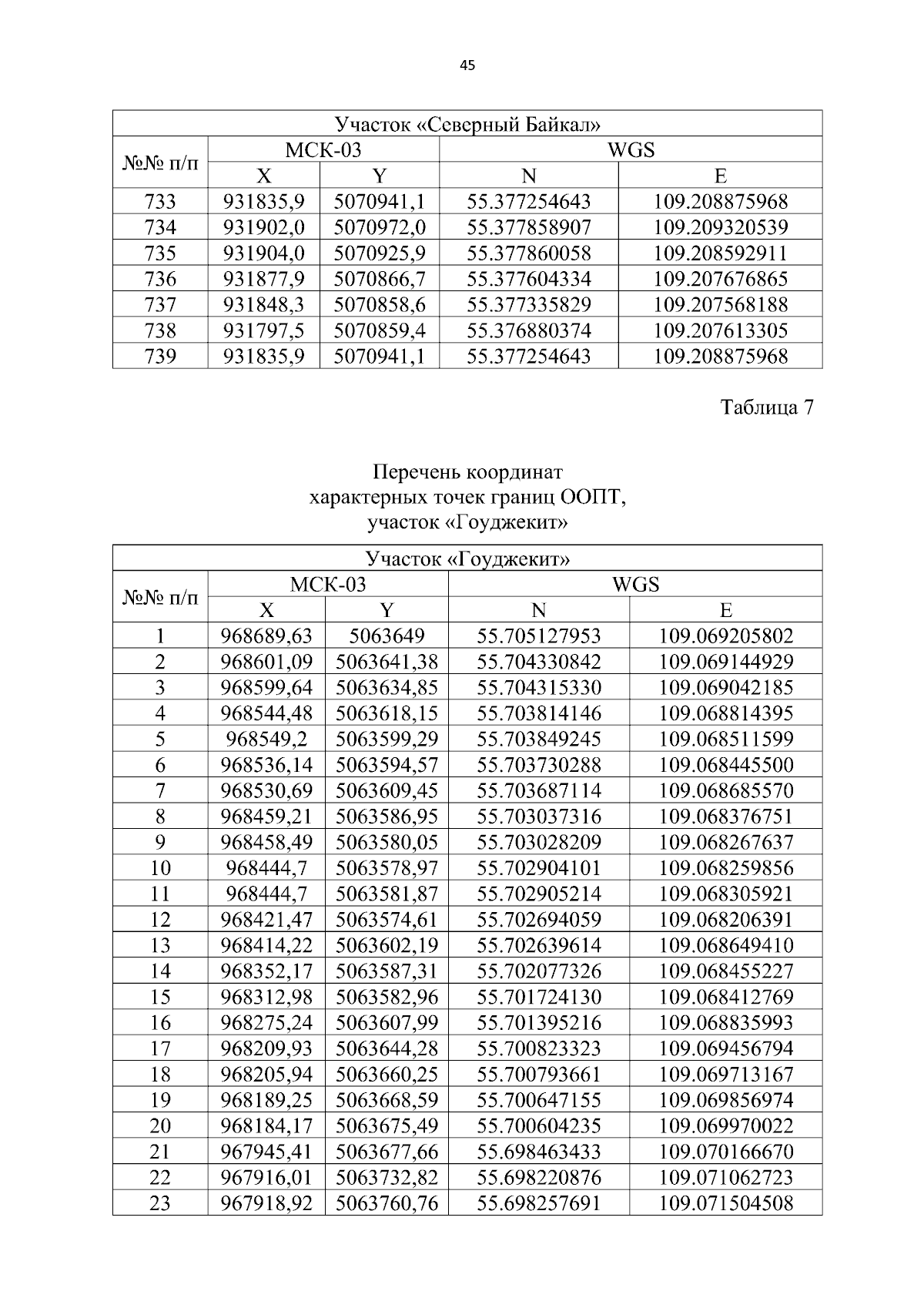
Страница №47 из 124:
Увеличить