Официальное опубликование правовых актов
ОФИЦИАЛЬНОЕ ОПУБЛИКОВАНИЕ
Постановление Правительства Республики Бурятия от 04.08.2024 № 442
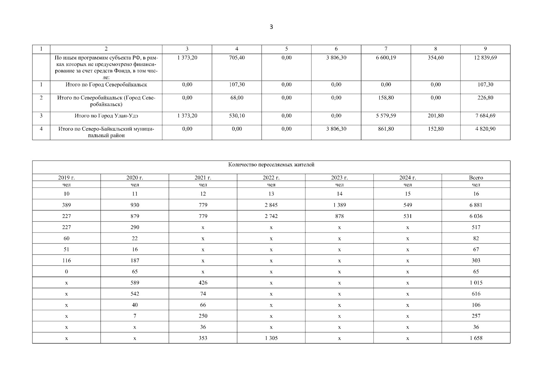
"О внесении изменений в постановление Правительства Республики Бурятия от 05.04.2019 № 170 "Об утверждении Республиканской адресной программы по переселению граждан из аварийного жилищного фонда на территории Республики Бурятия, признанного таковым до 1 января 2017 года, на период 2019 - 2024 годов"
Номер опубликования: 0300202408080005
Дата опубликования: 08.08.2024
Страница №36 из 37:
Увеличить