Официальное опубликование правовых актов
ОФИЦИАЛЬНОЕ ОПУБЛИКОВАНИЕ
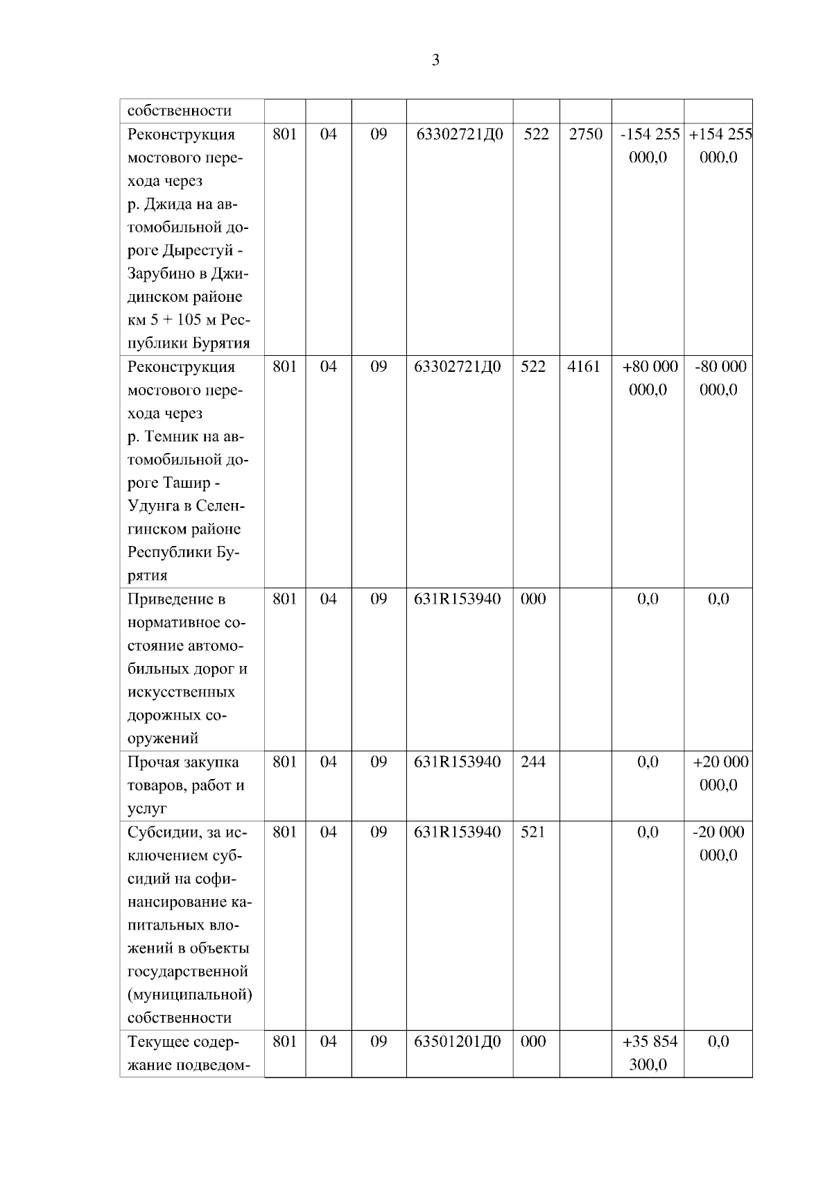
Распоряжение Правительства Республики Бурятия от 27.06.2024 № 524-р
Номер опубликования: 0300202407020006
Дата опубликования: 02.07.2024
Страница №3 из 8:
Увеличить