Официальное опубликование правовых актов
ОФИЦИАЛЬНОЕ ОПУБЛИКОВАНИЕ
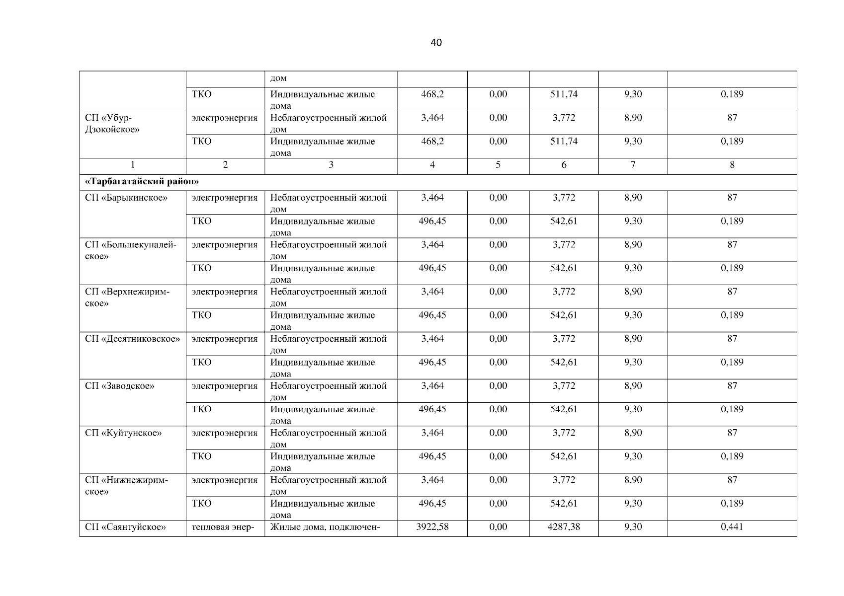
Распоряжение Правительства Республики Бурятия от 08.12.2023 № 1085-р
Номер опубликования: 0300202312120001
Дата опубликования: 12.12.2023
Страница №59 из 80:
Увеличить