Официальное опубликование правовых актов
ОФИЦИАЛЬНОЕ ОПУБЛИКОВАНИЕ
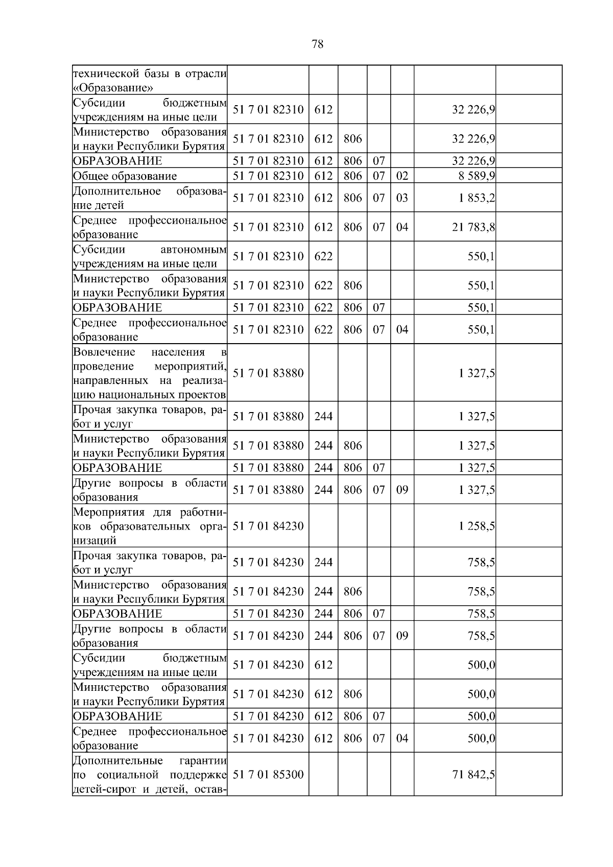
Закон Республики Бурятия от 24.11.2023 № 191-VII
"О внесении изменений в Закон Республики Бурятия"О республиканском бюджете на 2023 год и на плановый период 2024 и 2025 годов"
Номер опубликования: 0300202311270010
Дата опубликования: 27.11.2023
Страница №78 из 2006:
Увеличить