Официальное опубликование правовых актов
ОФИЦИАЛЬНОЕ ОПУБЛИКОВАНИЕ
Постановление Правительства Республики Бурятия от 03.11.2023 № 665
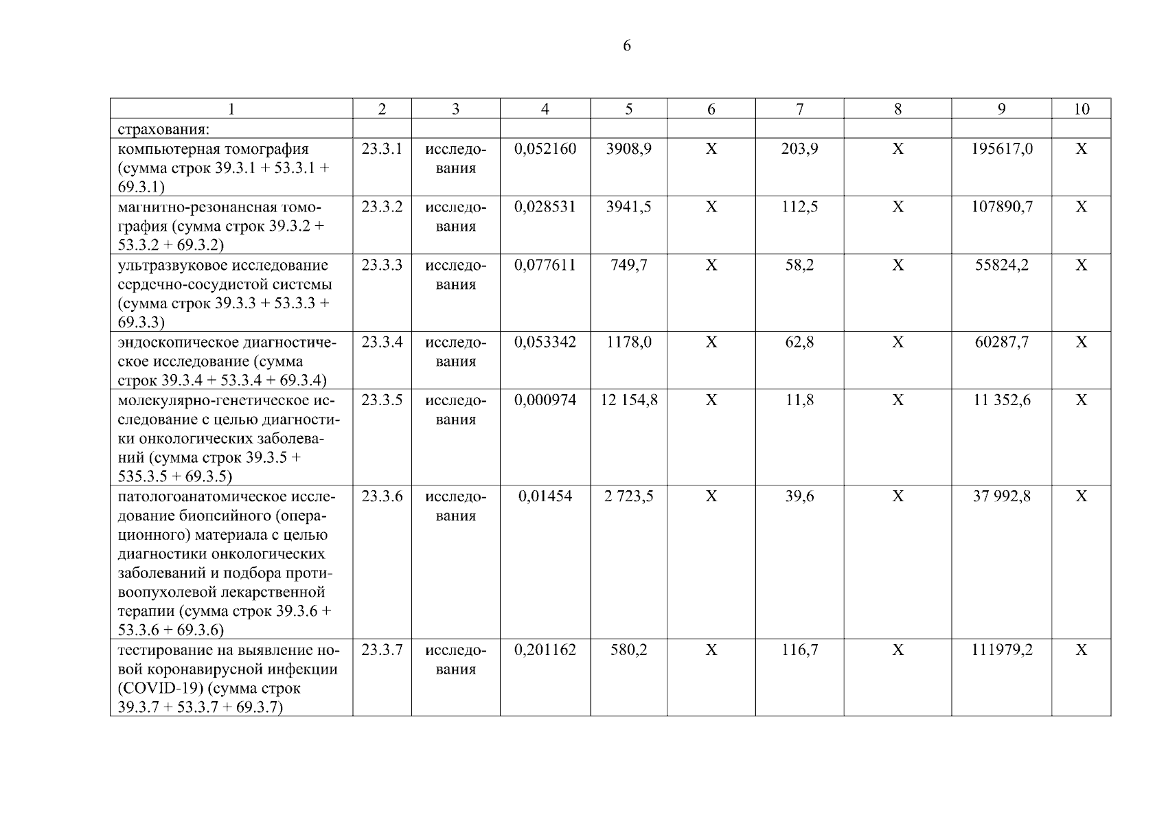
"О внесении изменений в постановление Правительства Республики Бурятия от 29.12.2022 № 845 "О Программе государственных гарантий бесплатного оказания гражданам медицинской помощи на территории Республики Бурятия на 2023 год и на плановый период 2024 и 2025 годов"
Номер опубликования: 0300202311090003
Дата опубликования: 09.11.2023
Страница №9 из 25:
Увеличить