Официальное опубликование правовых актов
ОФИЦИАЛЬНОЕ ОПУБЛИКОВАНИЕ
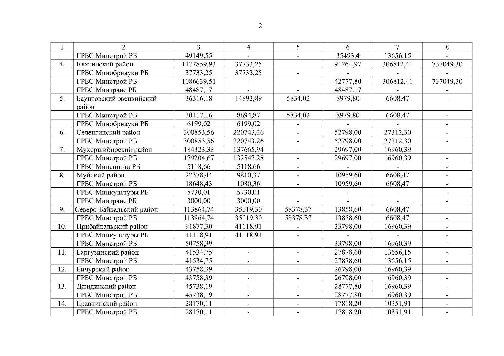
Постановление Правительства Республики Бурятия от 25.10.2023 № 640
"О внесении изменения в постановление Правительства Республики Бурятия от 10.07.2020 № 420 "Об утверждении распределения в 2020 - 2024 гг. иных межбюджетных трансфертов из республиканского бюджета бюджетам муниципальных образований в Республике Бурятия на реализацию мероприятий Плана социального развития центров экономического роста Республики Бурятия"
Номер опубликования: 0300202310270009
Дата опубликования: 27.10.2023
Страница №4 из 5:
Увеличить