Официальное опубликование правовых актов
ОФИЦИАЛЬНОЕ ОПУБЛИКОВАНИЕ
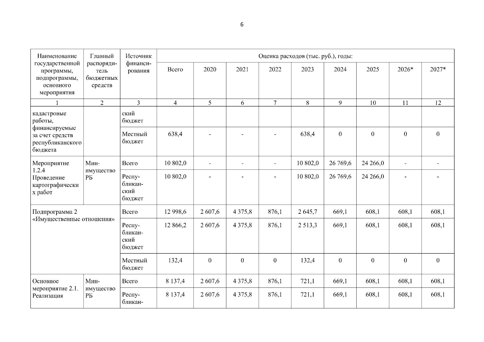
Постановление Правительства Республики Бурятия от 06.10.2023 № 608
"О внесении изменений в постановление Правительства Республики Бурятия от 09.06.2020 № 342 "Об утверждении Государственной программы Республики Бурятия "Развитие имущественных и земельных отношений" и признании утратившими силу некоторых нормативных правовых актов Правительства Республики Бурятия"
Номер опубликования: 0300202310100009
Дата опубликования: 10.10.2023
Страница №8 из 64:
Увеличить