Постановление Правительства Республики Бурятия от 04.09.2023 № 519
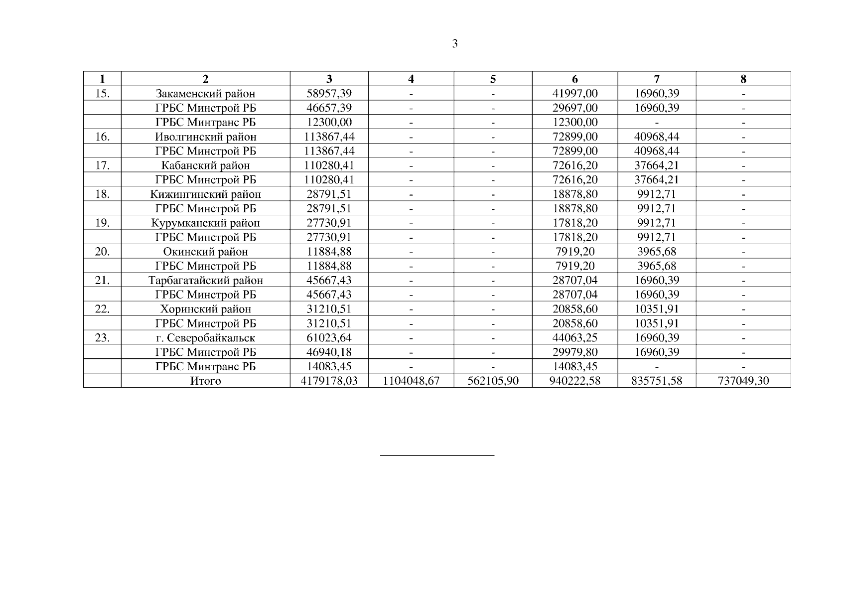
"О внесении изменения в постановление Правительства Республики Бурятия от 10.07.2020 № 420 "Об утверждении распределения в 2020 - 2024 гг. иных межбюджетных трансфертов из республиканского бюджета бюджетам муниципальных образований в Республике Бурятия на реализацию мероприятий Плана социального развития центров экономического роста Республики Бурятия"
"О внесении изменения в постановление Правительства Республики Бурятия от 10.07.2020 № 420 "Об утверждении распределения в 2020 - 2024 гг. иных межбюджетных трансфертов из республиканского бюджета бюджетам муниципальных образований в Республике Бурятия на реализацию мероприятий Плана социального развития центров экономического роста Республики Бурятия"
Номер опубликования: 0300202309060001
Дата опубликования:
06.09.2023
