Официальное опубликование правовых актов
ОФИЦИАЛЬНОЕ ОПУБЛИКОВАНИЕ
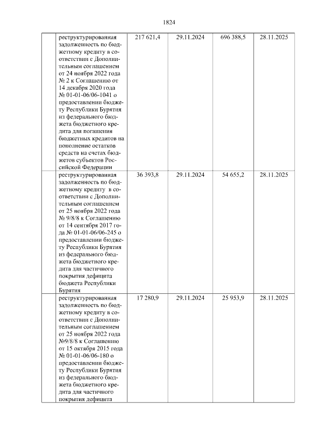
Закон Республики Бурятия от 07.03.2023 № 2532-VI
"О внесении изменений в Закон Республики Бурятия "О республиканском бюджете на 2023 год и на плановый период 2024 и 2025 годов"
Номер опубликования: 0300202303090001
Дата опубликования: 09.03.2023
Страница №1824 из 1860:
Увеличить