Официальное опубликование правовых актов
ОФИЦИАЛЬНОЕ ОПУБЛИКОВАНИЕ
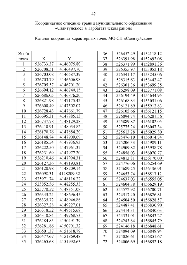
Закон Республики Бурятия от 06.03.2023 № 2511-VI
"О внесении изменений в приложения к Закону Республики Бурятия "Об установлении границ, образовании и наделении статусом муниципальных образований в Республике Бурятия"
Номер опубликования: 0300202303070001
Дата опубликования: 07.03.2023
Страница №42 из 45:
Увеличить