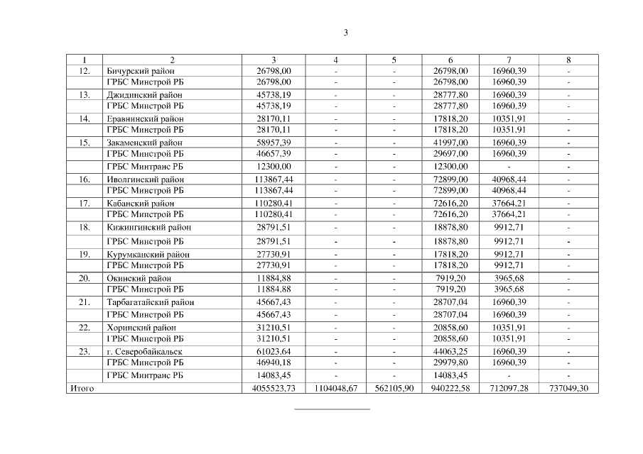
Постановление Правительства Республики Бурятия от 07.02.2023 № 62
"О внесении изменений в постановление Правительства Республики Бурятия от 10.07.2020 № 420 "Об утверждении распределения в 2020 - 2023 гг. иных межбюджетных трансфертов из республиканского бюджета бюджетам муниципальных образований в Республике Бурятия на реализацию мероприятий Плана социального развития центров экономического роста Республики Бурятия"
"О внесении изменений в постановление Правительства Республики Бурятия от 10.07.2020 № 420 "Об утверждении распределения в 2020 - 2023 гг. иных межбюджетных трансфертов из республиканского бюджета бюджетам муниципальных образований в Республике Бурятия на реализацию мероприятий Плана социального развития центров экономического роста Республики Бурятия"
Номер опубликования: 0300202302090005
Дата опубликования:
09.02.2023
