Официальное опубликование правовых актов
ОФИЦИАЛЬНОЕ ОПУБЛИКОВАНИЕ
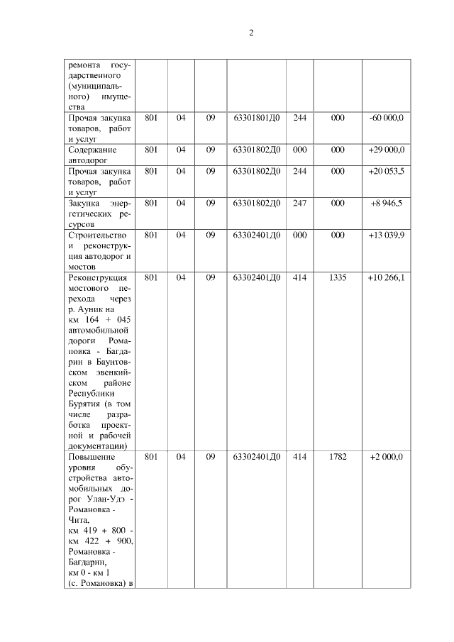
Распоряжение Правительства Республики Бурятия от 05.10.2022 № 800-р
Номер опубликования: 0300202210100012
Дата опубликования: 10.10.2022
Страница №2 из 9:
Увеличить