Официальное опубликование правовых актов
ОФИЦИАЛЬНОЕ ОПУБЛИКОВАНИЕ
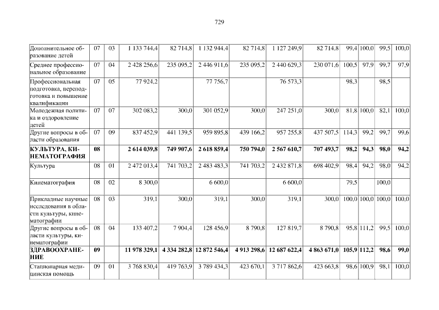
Закон Республики Бурятия от 07.07.2022 № 2196-VI
"Об исполнении республиканского бюджета за 2021 год"
Номер опубликования: 0300202207110011
Дата опубликования: 11.07.2022
Страница №729 из 736:
Увеличить