Официальное опубликование правовых актов
ОФИЦИАЛЬНОЕ ОПУБЛИКОВАНИЕ
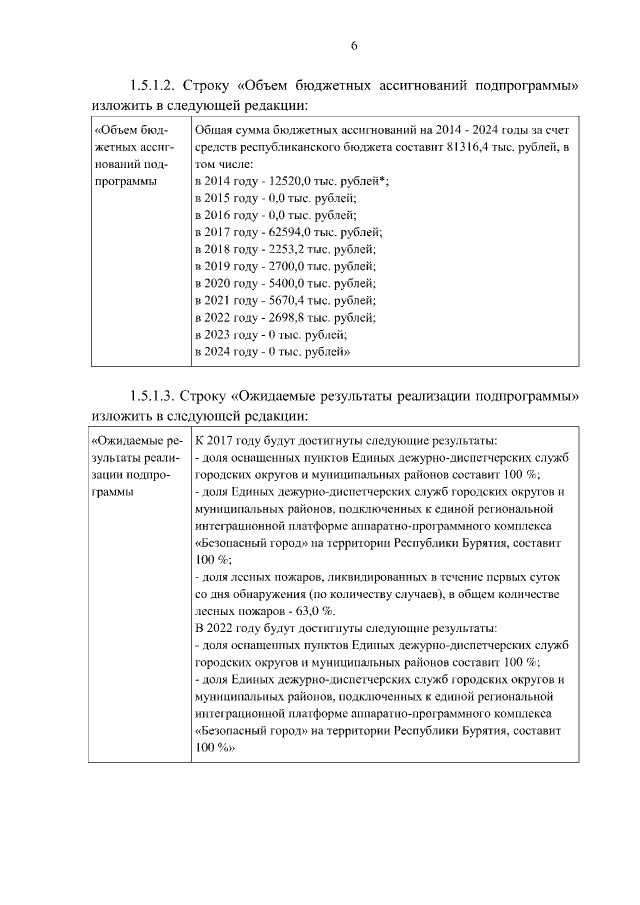
Постановление Правительства Республики Бурятия от 26.05.2022 № 305
"О внесении изменений в постановление Правительства Республики Бурятия от 05.02.2013 № 41 "Об утверждении Государственной программы Республики Бурятия "Безопасность жизнедеятельности"
Номер опубликования: 0300202205310001
Дата опубликования: 31.05.2022
Страница №6 из 38:
Увеличить