Официальное опубликование правовых актов
ОФИЦИАЛЬНОЕ ОПУБЛИКОВАНИЕ
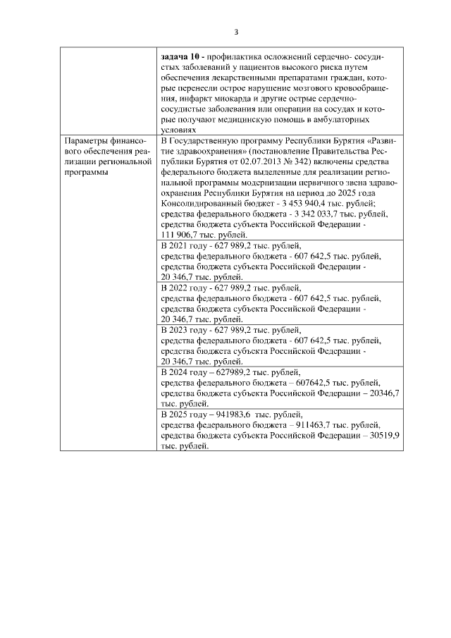
Постановление Правительства Республики Бурятия от 20.12.2021 № 739
"О внесении изменений в постановление Правительства Республики Бурятия от 14.12.2020 № 747 "Об утверждении Программы модернизации первичного звена здравоохранения Республики Бурятия на период до 2025 года"
Номер опубликования: 0300202112270001
Дата опубликования: 27.12.2021
Страница №4 из 76:
Увеличить