Официальное опубликование правовых актов
ОФИЦИАЛЬНОЕ ОПУБЛИКОВАНИЕ
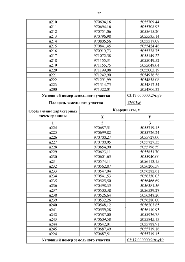
Распоряжение Правительства Республики Бурятия от 22.09.2021 № 546-р
Номер опубликования: 0300202109240012
Дата опубликования: 24.09.2021
Страница №24 из 33:
Увеличить