Официальное опубликование правовых актов
ОФИЦИАЛЬНОЕ ОПУБЛИКОВАНИЕ
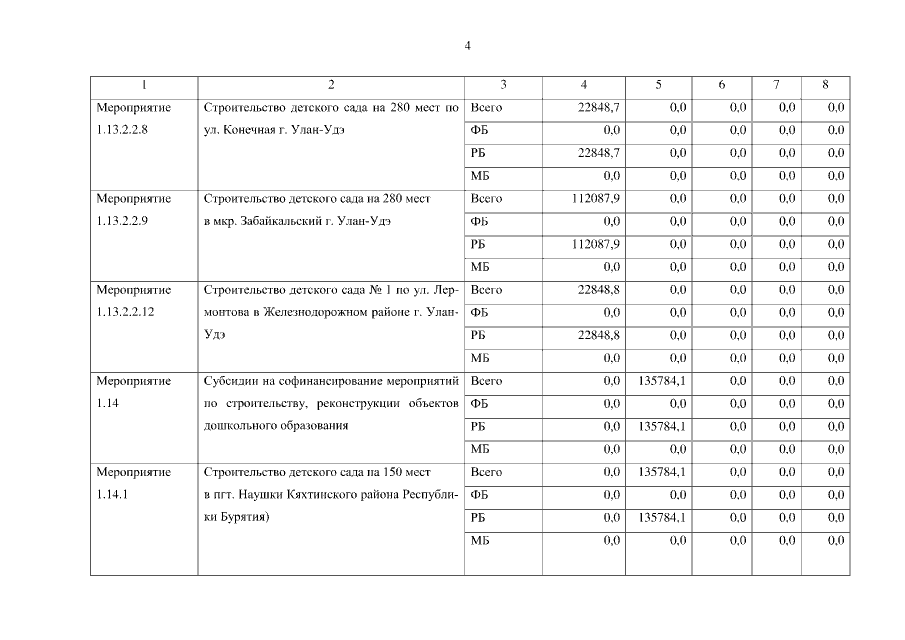
Постановление Правительства Республики Бурятия от 30.08.2021 № 492
"О внесении изменений в постановление Правительства Республики Бурятия от 06.02.2013 № 49 "Об утверждении Государственной программы Республики Бурятия "Развитие образования и науки"
Номер опубликования: 0300202109030001
Дата опубликования: 03.09.2021
Страница №41 из 56:
Увеличить