Официальное опубликование правовых актов
ОФИЦИАЛЬНОЕ ОПУБЛИКОВАНИЕ
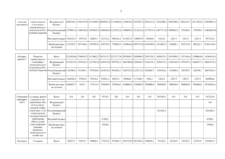
Постановление Правительства Республики Бурятия от 19.08.2021 № 463
"О внесении изменений в постановление Правительства Республики Бурятия от 02.08.2013 № 424 "Об утверждении Государственной программы Республики Бурятия "Развитие строительного и жилищно-коммунального комплексов Республики Бурятия"
Номер опубликования: 0300202108250011
Дата опубликования: 25.08.2021
Страница №7 из 11:
Увеличить