Официальное опубликование правовых актов
ОФИЦИАЛЬНОЕ ОПУБЛИКОВАНИЕ
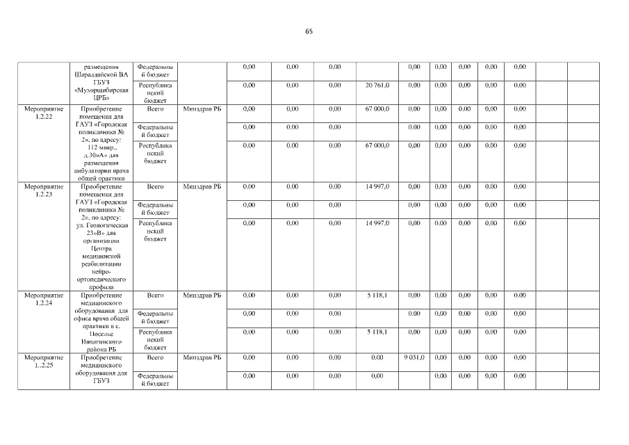
Постановление Правительства Республики Бурятия от 13.07.2021 № 367
"О внесении изменений в постановление Правительства Республики Бурятии от 02.07.2013 № 342 "Об утверждении Государственной программы Республики Бурятия "Развитие здравоохранения"
Номер опубликования: 0300202107150004
Дата опубликования: 15.07.2021
Страница №67 из 129:
Увеличить