Официальное опубликование правовых актов
ОФИЦИАЛЬНОЕ ОПУБЛИКОВАНИЕ
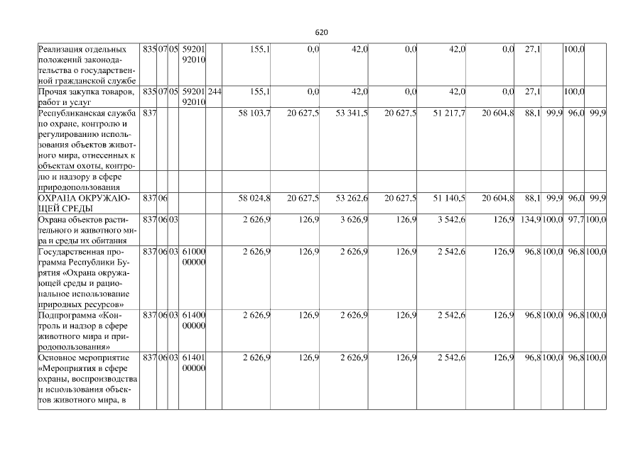
Закон Республики Бурятия от 06.07.2021 № 1614-VI
"Об исполнении республиканского бюджета за 2020 год"
Номер опубликования: 0300202107090009
Дата опубликования: 09.07.2021
Страница №621 из 693:
Увеличить